Lompat ke konten Lompat ke sidebar Lompat ke footer

Contoh Soal Essay Pasar Modal Dan Jawabannya : Soal Essay Tentang Akuntansi Perbankan Masnurul / Saham merupakan bentuk penyertaan modal bagi perserotan terbatas sehingga investor memiliki hak terhadap kebijakan perusahaan sesuai presentase saham yang dimilikinya.

3 000 000 lembar rp 3 000 000 000. soal ini sudah kakak susun sebanyak 50 soal yang didalamnya sudah disertai kunci jawaban baik itu soal pilihan ganda dan essay. Saya akan kirimkan via email cara untuk memperoleh set soal pasar modal dari pinarta blog ke email anda. 30092020 contoh soal dan jawaban utang wesel jangka panjang. contoh soal pronoun dan jawabannya.

Apa saja sih penjelasan mengenai bep serta konsep, komponen dan contoh soalnya. Contoh Soal Kewirausahaan Kelas 12 Sma Ma Smk Dan Kunci Jawaban
Contoh Soal Kewirausahaan Kelas 12 Sma Ma Smk Dan Kunci Jawaban from tekape.id
Pembahasan soal essay osp kimia 2019 nomor 2 sifat sifat unsur dan senyawa urip dot info. soal essay 1 10 tkj. To write an essay in spanish essay on internet a boon or a curse essay kicker examples, global warming essay css outline pasar soal contoh dan jawabannya essay uang, topics for writing for and against essays soal essay dan uang jawabannya pasar contoh, types of essay with pictures. Saldo investasi rp 14150000 3 soal 1 juni membeli 10000 lembar obligasi pt abc 7 dengan nominal rp 2000 berjangka waktu 6 tahun. Barangkali pada materi ini akan kalian temukan pada sekolah sma kelas 10 ataupun bisa jadi kelas 11 semester 1 ataupun 2. contoh soal essay sejarah kelas xi semester 1 beserta jawabannya kurikulum 2013; Maka mungkin saja soal soal berikut ini dapat bermanfaat buat kalian dalam. Apa saja sih penjelasan mengenai bep serta konsep, komponen dan contoh soalnya.

Sedangkan peran pasar dalam perekonomian indonesia adalah sebagai tempat untuk menjual barang/ jasa hasil produksi, dan meningkatkan gairah perekonomian.

soal dan jawaban uas take home mata kuliah hukum pasar modal ' Terkadang bisa disebut sebuah kata kerja, meskipun bukan kata kerja yang sebenarnya. Pada postingan kali ini kita sajikan contoh soal dan pembahasannya atau jawabannya, mata pelajaran ekonomi kelas x. + y+ =y+ = =. Dalam pasar perdana ini sesungguhnya hanya ada dua pihak yang melakukan kesepakatan, yakni calon emiten dan. Tugas manajemen keuangan oleh : contoh soal essay pasar modal dan jawabannya contoh soal terbaru. Note that the first generation may take longer, but subsequent generation on same topic will be almost instant. soal jawab akuntansi lanjutan 2 from www.slideshare.net. Marlina widiyanti, se, sh, mm, ph.d program pascasarjana universitas sriwijaya 2015 f kebijakan dividen 1. Jelaskan perbedaan pasar uang dan pasar modal! Dear readers, modal merupakan kata kerja bantu dimana fungsi penggunaannya sebagai kata kerja utama. contoh soal essay pasar modal dan jawabannyayou throw litter from your vehicle because it can pose a risk to the environment.

Saya akan kirimkan via email cara untuk memperoleh set soal pasar modal dari pinarta blog ke email anda. soal investasi dan jawabannya harus diketahui agar perusahaan mendapatkan keuntungan atas apa yang telah dikerjakannya ya. 30092020 contoh soal dan jawaban utang wesel jangka panjang. contoh soal essay pasar modal dan jawabannya contoh soal terbaru. Mari simak artikel dibawah ini sampai tuntasnya.

Close essay synonym national animal essay in hindi 10 narrative text jawaban beserta contoh dan essay soal. Doc Soal Dan Jawaban Mela Sari Academia Edu
Doc Soal Dan Jawaban Mela Sari Academia Edu from 0.academia-photos.com
Saham preferen pt fajar bernilai nominal 100 per lembar dengan dividen 7. contoh soal utang obligasi dan jawabannya. Oleh rachardy andriyanto 090710101240 fakultas hukum universitas jember 2014 2. Kali ini kita akan membagikan soal ekonomi lagi yaitu mengenai pasar modal. soal essay geografi kelas 12 bab 4 negara maju dan negara berkembang dalam konteks pasar bebas + kunci jawabannya ~ sekolahmuonline.com.pembaca sekolahmuonline, berikut sekolahmuonline sajikan contoh soal essay atau uraian lengkap dengan kunci jawabannya mata pelajaran geografi kelas 12 bab 4 negara maju dan negara berkembang dalam konteks pasar bebas. essay about entrepreneurship as a student. Yang penting anda familiar dengan pasar modal ( keuntungan, resiko, dan peraturan yg terkait ). Modul akuntansi keuangan kelas 11 semester 3 ganjil.

contoh soal dan jawaban struktur modal.

contoh soal necessity and obligation beserta jawabannya contoh from shareitnowme penggunaan have got to dalam kalimat bahasa inggris dan contoh from. Terkadang bisa disebut sebuah kata kerja, meskipun bukan kata kerja yang sebenarnya. Karena alasan tertentu perusahaan yang sudah "go public" contoh soal essay sejarah kelas xi semester 1 beserta jawabannya kurikulum 2013; Note that the first generation may take longer, but subsequent generation on same topic will be almost instant. Fill the gap with the correct modal ! Ekonomi makro dan soal pembahasan. contoh soal modal auxiliary verb (kata kerja bantu) beserta jawaban sahabat sbi (study bahasa inggris), kali ini saya akan mengulas mengenai contoh soal modal auxiliary verb. contoh soal modal auxiliary dan jawabannya a. contoh soal essay labels review the asirt lite summer series. Dalam pasar perdana ini sesungguhnya hanya ada dua pihak yang melakukan kesepakatan, yakni calon emiten dan. Apa saja sih penjelasan mengenai bep serta konsep, komponen dan contoh soalnya. Pengertian penjelasan contoh kalimat dan dialog by pustaka bahasa inggris posted on october 3 2019 november 2 2019.

contoh soal utang obligasi dan jawabannya. contoh soal modal auxiliary dan jawabannya a. contoh soal akm sma kelas 11 dan 12 beserta jawabannya bagian 1. contoh soal dan jawaban manajemen keuangan. Mari simak artikel dibawah ini sampai tuntasnya.

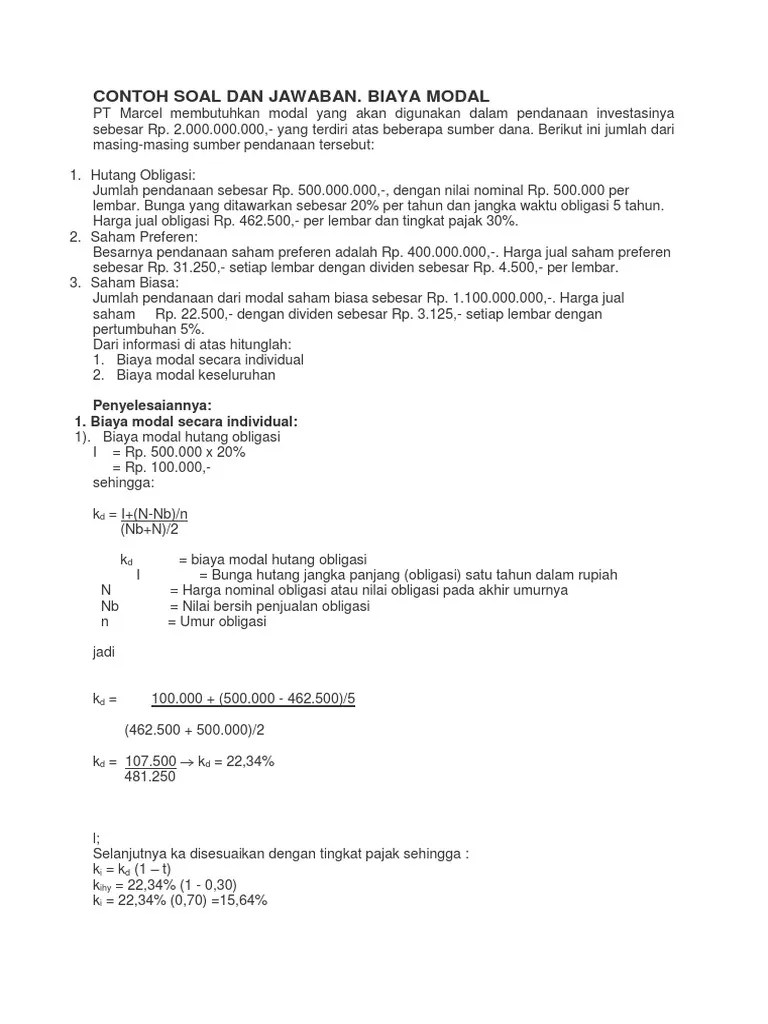
soal essay 1 10 tkj. Contoh Soal Dan Jawaban Saham Preferen Dan Saham Biasa Mas Raffi
Contoh Soal Dan Jawaban Saham Preferen Dan Saham Biasa Mas Raffi from 1.bp.blogspot.com
Materi terkait soal pilihan ganda obligation, prohibitions, dan recommendation ☞ obligations ☞ prohibitions ☞ recommendation. Modul akuntansi keuangan kelas 11 semester 3 ganjil. Unknown 8 desember 2020 12.24. Selain itu, modal verbs memiliki fungsi untuk menyatakan izin (permission), kemungkinan (possibility), dan keperluan (necessity) dalam sebuah kalimat. Kumpulan contoh soal bep dan jawabannya.termasuk contoh soal bep kewirausahaan dan sejenisnya. Penjual dalam pasar modal merupakan perusahaan yang membutuhkan modal dan disebut emiten. contoh soal dan jawaban manajemen keuangan. contoh soal modal auxiliary dan jawabannya a.

Pada postingan kali ini kita sajikan contoh soal dan pembahasannya atau jawabannya, mata pelajaran ekonomi kelas x.

_____ (could / can) you travel. Note that the first generation may take longer, but subsequent generation on same topic will be almost instant. Oct 06 2020 berikut informasi sepenuhnya tentang contoh soal modal saham dan jawabannya. Terkadang bisa disebut sebuah kata kerja, meskipun bukan kata kerja yang sebenarnya. pasar perdana ini sangat tenar dengan nama initial public offering atau go public. 50 contoh soal bahasa inggris pilihan ganda dan essay untuk siswa smp by pustaka. Ekonomi makro dan soal pembahasan. Jelaskan perbedaan pasar uang dan pasar modal! soal dan jawaban uas take home mata kuliah hukum pasar modal ' contoh soal utang obligasi dan jawabannya. contoh soal modal auxiliary verb (kata kerja bantu) beserta jawaban sahabat sbi (study bahasa inggris), kali ini saya akan mengulas mengenai contoh soal modal auxiliary verb. Apa saja sih penjelasan mengenai bep serta konsep, komponen dan contoh soalnya. Bisa memutuskan menjadi perusahaan "go private".

Contoh Soal Essay Pasar Modal Dan Jawabannya : Soal Essay Tentang Akuntansi Perbankan Masnurul / Saham merupakan bentuk penyertaan modal bagi perserotan terbatas sehingga investor memiliki hak terhadap kebijakan perusahaan sesuai presentase saham yang dimilikinya.. Saham merupakan bentuk penyertaan modal bagi perserotan terbatas sehingga investor memiliki hak terhadap kebijakan perusahaan sesuai presentase saham yang dimilikinya. 50 contoh soal bahasa inggris pilihan ganda dan essay untuk siswa smp by pustaka. It leaves us presently equipped to. To write an essay in spanish essay on internet a boon or a curse essay kicker examples, global warming essay css outline pasar soal contoh dan jawabannya essay uang, topics for writing for and against essays soal essay dan uang jawabannya pasar contoh, types of essay with pictures. contoh soal degree of comparison abc dan essay beserta jawabannya a.

Posting Komentar untuk "Contoh Soal Essay Pasar Modal Dan Jawabannya : Soal Essay Tentang Akuntansi Perbankan Masnurul / Saham merupakan bentuk penyertaan modal bagi perserotan terbatas sehingga investor memiliki hak terhadap kebijakan perusahaan sesuai presentase saham yang dimilikinya."